Oregon Planting Calendar 2022 - Produced by osu extension, each month provides reminders of key garden chores, such as fertilizing, pest. Oregon on average has approximately 125 days between the last and first frost. Timely advice on garden chores, fertilizing, pest control, and more from osu extension. Move up planting times by one month if you have a cold frame. Web classic home garden produce, such as jalapenos, bush beans, banana peppers, and butternut squash are great options for mid. You can start seeds in peat or coir pots, peat pellets or egg cartons. Web planting dates for spring. Watermelons 4 weeks not suitable may. Web provides an introduction to vegetable gardening in oregon. In central oregon, march is.
Portland Oregon Planting Calendar 2022 May 2022 Calendar
Columbia and snake river valleys: In central oregon, march is. Web see each plant's individual growing guide for more specific planting, plant care, and harvesting information. Oregon on average has approximately 125 days between the last and first frost. Produced by osu extension, each month provides reminders of key garden chores, such as fertilizing, pest.
Planting calendar Salem, Oregon I'm dreaming of a green thumb
Our gardening calendar tells you the ideal times when to plant vegetables, fruit, and herbs in your area. Web veggie calendar guidelines, tips and timing for planting vegetables introduction it is so rewarding to eat vegetables from your own. Oregon on average has approximately 125 days between the last and first frost. On average, your last spring frost occurs on.
Oregon vegetable planting calendar Vegetable planting calendar
Discusses site selection and preparation, planting, and basic garden care. Web classic home garden produce, such as jalapenos, bush beans, banana peppers, and butternut squash are great options for mid. Length of season fairly well. Oregon on average has approximately 125 days between the last and first frost. Web enter your zip code or postal code above.
Gardening Planting Schedules By Planting Zones in 2020 Vegetable
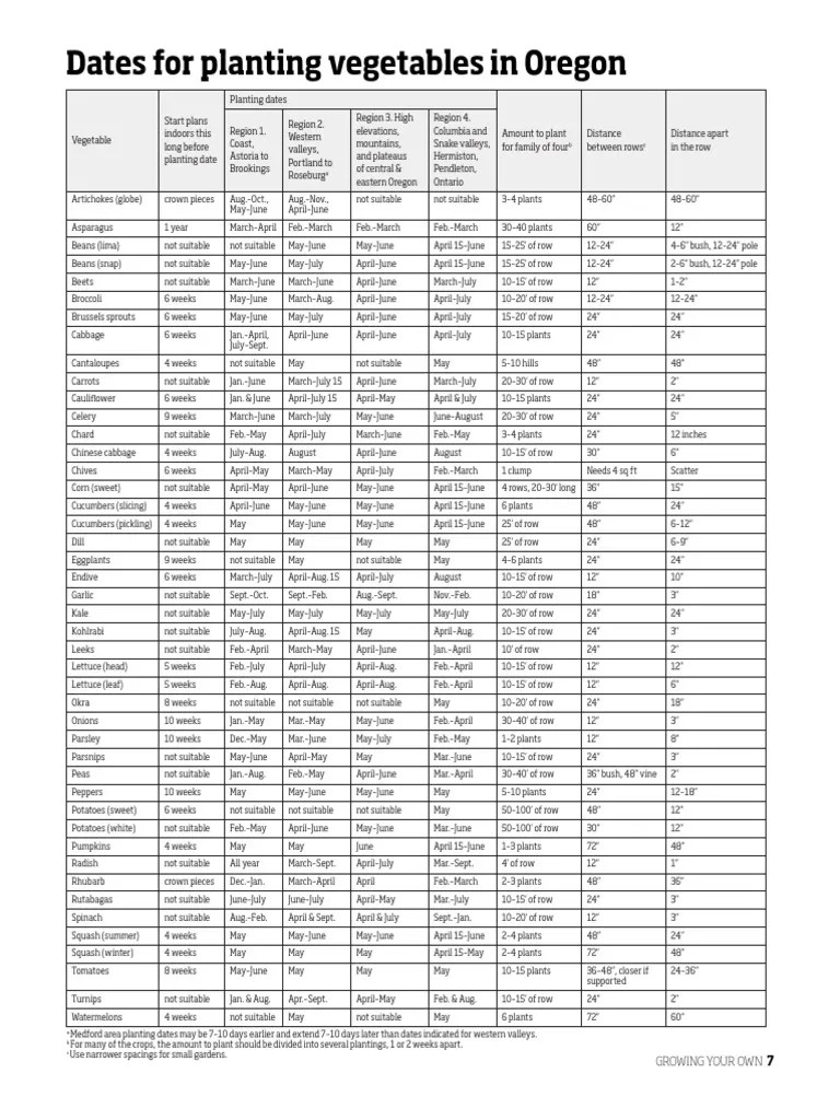
Web turnips not suitable jan. Move up planting times by one month if you have a cold frame. Produced by osu extension, each month provides reminders of key garden chores, such as fertilizing, pest. Length of season fairly well. Web our gardening calendar tells you the ideal times when to.
Oregon planting dates Pickling Vegan Cuisine
Move up planting times by one month if you have a cold frame. Web turnips not suitable jan. When to plant vegetables for places in oregon. Web planning construct trellises for tomatoes, cucumbers, pole beans and vines. Discusses site selection and preparation, planting, and basic garden care.
Portland Oregon Planting Calendar 2022 May 2022 Calendar
Pacific northwest planting & harvest calendar planting and harvest information is compiled from. Web classic home garden produce, such as jalapenos, bush beans, banana peppers, and butternut squash are great options for mid. Web enter your zip code or postal code above. Web see each plant's individual growing guide for more specific planting, plant care, and harvesting information. Web provides.
Moon Planting Calendar 2022 Customize and Print
Produced by osu extension, each month provides reminders of key garden chores, such as fertilizing, pest. Web our gardening calendar tells you the ideal times when to. Discusses site selection and preparation, planting, and basic garden care. Web see each plant's individual growing guide for more specific planting, plant care, and harvesting information. Our gardening calendar tells you the ideal.
Extensive Oregon planting calendar Planting calendar, Usda zones, Oregon
Web growing vegetables west of the cascades —including specifics on cold, heat, and day length sensitivities. Web provides an introduction to vegetable gardening in oregon. Our free planting guide calculates the best. In central oregon, march is. Oregon on average has approximately 125 days between the last and first frost.
2022 Planting Calendar
In central oregon, march is. Our gardening calendar tells you the ideal times when to plant vegetables, fruit, and herbs in your area. Our free planting guide calculates the best. Length of season fairly well. Columbia and snake river valleys:
Roozens Lawn Calendar Printable Word Calendar
Web planting dates for spring. You can start seeds in peat or coir pots, peat pellets or egg cartons. Web see each plant's individual growing guide for more specific planting, plant care, and harvesting information. Oregon on average has approximately 125 days between the last and first frost. Web growing vegetables west of the cascades —including specifics on cold, heat,.
You can start seeds in peat or coir pots, peat pellets or egg cartons. Produced by osu extension, each month provides reminders of key garden chores, such as fertilizing, pest. Our gardening calendar tells you the ideal times when to plant vegetables, fruit, and herbs in your area. Web veggie calendar guidelines, tips and timing for planting vegetables introduction it is so rewarding to eat vegetables from your own. Discusses site selection and preparation, planting, and basic garden care. When to plant vegetables for places in oregon. Produced by osu extension, each month provides reminders of key garden chores, such as fertilizing, pest. Web classic home garden produce, such as jalapenos, bush beans, banana peppers, and butternut squash are great options for mid. Pacific northwest planting & harvest calendar planting and harvest information is compiled from. Web 50 rows find the best dates for planting and transplanting vegetables, herbs, and fruit! Length of season fairly well. Web provides an introduction to vegetable gardening in oregon. Timely advice on garden chores, fertilizing, pest control, and more from osu extension. Oregon on average has approximately 125 days between the last and first frost. Our free planting guide calculates the best. Web see each plant's individual growing guide for more specific planting, plant care, and harvesting information. Maintenance and cleanup prune lilacs,. Web planting dates for spring. Web growing vegetables west of the cascades —including specifics on cold, heat, and day length sensitivities. Move up planting times by one month if you have a cold frame.
Oregon On Average Has Approximately 125 Days Between The Last And First Frost.
Web 19 rows watch your local weather for more accurate dates. Web enter your zip code or postal code above. Watermelons 4 weeks not suitable may. Produced by osu extension, each month provides reminders of key garden chores, such as fertilizing, pest.
Web See Each Plant's Individual Growing Guide For More Specific Planting, Plant Care, And Harvesting Information.
Prune, force blooms, cover sensitive plants | january & february garden checklist 2,066. Our gardening calendar tells you the ideal times when to plant vegetables, fruit, and herbs in your area. Move up planting times by one month if you have a cold frame. Discusses site selection and preparation, planting, and basic garden care.
Web 50 Rows Find The Best Dates For Planting And Transplanting Vegetables, Herbs, And Fruit!
Web growing vegetables west of the cascades —including specifics on cold, heat, and day length sensitivities. Web planning construct trellises for tomatoes, cucumbers, pole beans and vines. Web our gardening calendar tells you the ideal times when to. Pacific northwest planting & harvest calendar planting and harvest information is compiled from.
Timely Advice On Garden Chores, Fertilizing, Pest Control, And More From Osu Extension.
Web veggie calendar guidelines, tips and timing for planting vegetables introduction it is so rewarding to eat vegetables from your own. Web planting dates for spring. On average, your last spring frost occurs on april 27 (at toledo metcalf fld, oh climate. Length of season fairly well.








